En este tema vamos a estudiar las distintas medidas que nos van a ser de gran utilidad para nosotros puesto que en el examen probablemente se nos planteará un problema tipo empleando dichas medidas, además de ser útiles también para el trabajo de investigación.
--> MEDIDAS DE TENDENCIA CENTRAL:
- Media aritmética. Se calcula para variables cuantitativas
- Mediana.
- Si el numero de observaciones es impar el valor de
la observación será justamente la observación que ocupa la posición
(n+1)/2.
- Si el numero de observaciones es par, el valor de la
mediana corresponde a la media entre los dos valores centrales.
- Moda. Para cualquier tipo de variable.
- Cuantiles. Para variables cuantitativas.
- Percentiles: Dividen la muestra ordenada en 100 partes. EL VALOR DEL P50 CORRESPONDE AL VALOR DE LA MEDIANA
- Deciles: Dividen la muestra ordenada en 10 partes. EL VALOR DEL D5 CORRESPONDE AL VALOR DE LA MEDIANA Y, POR TANTO, AL VALOR DEL P50.
- Cuartil: Dividen la muestra ordenada en 4 partes. EL Q2 COINCIDE CON EL VALOR DE D5, CON EL VALOR DE LA MEDIANA P50.
--> MEDIDAS DE DISPERSIÓN:
- Rango o recorrido. Es la diferencia entre el mayor y el menor valor de la muestra.
- Desviación media.

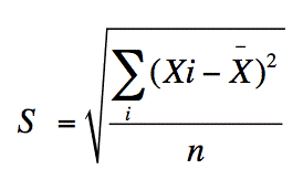
- Desviación típica.
- Varianza. Es la misma expresión que la desviación típica en valores cuadráticos.

- Rango intercuartílico. Diferencia entre el tercer y el primer cuartil.
- Coeficiente de variación.
(g1=0 , g1>0 , g1<0)
- Asimétrica hacia la izquierda
- Simétrica
- Asimétrica hacia la derecha

--> CURTOSIS.
- Distribución mesocúrtica (g2=0)
- Distribución leptocúrtica (g2>0)
- Distribución platicúrtica (g2<0)
No hay comentarios:
Publicar un comentario